Most treatments of dynamic formulae begin with the Engineering News Formula, proposed by A.M. Wellington in 1888 (about the time the first Vulcan #2 was produced.) But activity in this field had been going on for a long time before that.
As Robert Chellis noted in his book Pile Foundations, the first pile driving formula to gain any currency was the Sanders Formula, proposed by Maj. John Sanders of the U.S. Army in 1851, working at Fort Delaware. As given by Chellis, the Sanders Formula is as follows:
R = (Wr h) / (8 s)
where
- R = capacity of the pile, lbs.
- Wr = weight of the ram, lbs.
- h = drop height, inches
- s = set of pile after blow, inches
The constant in the denominator is a factor of safety. Merriman (of Merriman and Wiggin handbook fame) reduced that to six, accelerating a trend of proliferation of dynamic formulae by tweaking the parameters that plagued them throughout their existence.
The logic behind a formula like this is fairly simple to explain. If we consider a single acting hammer, its energy is developed by the weight falling through the drop height. The Sanders Formula assumes that the hammer imparts its energy to the pile in reverse fashion, i.e., exerting a force just above the pile resistance through the set of the pile, whose energy is equivalent to what was imparted to the ram during its free fall. Since the set is much smaller than the free drop of the hammer, the resistance of the pile can be much larger than the ram weight. The factor of safety is designed to cover all of the uncertainties that take place during the impact.
Although, in very broad terms, this is what pile driving is all about, directly applying this to the process is fraught with peril. The most persistent objection to Sanders’ Formula is that, if the pile set s is allow to go to zero, the pile resistance/capacity will be infinite. However, pile driving is a “diminishing returns” proposition: as the set incrementally decreases during driving, the capacity gained per each increment likewise decreases. This is why it is both futile and dangerous to hammer, pile and contractor alike to blindly insist on high blow counts; the increase in capacity is less than one would like while the stresses due to high forces and rebound are damaging, and the progress is slow.
This is demonstrated by a graph which this web master presented to DOT’s and other authorities back in the 1990’s:

Looking at things in detail, the Sanders Formula left out many factors which contribute to this phenomenon. The most prominent of these factors were the elasticities of all of the elements of the system: the ram, the cushion material (not a problem with Sanders, because wood piles were being driven,) the pile itself, and the soil. The whole history of pile dynamics is a progression of more and more system parameters being included in the analysis.
Some of this enters one of the first discussions on pile dynamics extant. It appears in the book Theoretical Mechanics, with an Introduction to the Calculus by the German professor Dr. Julius Weisbach (better known to mechanical engineers for the Darcy-Weisbach Formula.) The book’s Fourth Edition in German is dated 1863; the excerpt below is taken from the American edition dated 1878.
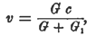
Pile Driving—If we drive piles such as A B, Fig. 569, into earth or any other soft material C D C, we increase its resistance much more than we would by simply stamping it. Such piles (Fr. pieux; Ger. Pfähle) are from 10 to 30 feet long, 8 to 20 inches thick, and are provided with an iron shoe B. The body M, the so-called ram (Fr. mouton; Ger. Rammklota, Rammbär or Hoyer), which is allowed to fall from 3 to 30 feet upon the top of the pile, is generally made of cast iron, more rarely of oak, and weighs from 5 to 20 hundred weights. If the ram falls the vertical distance h, the velocity with which it strikes the pile is
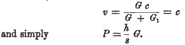
and if its weight = G and that of the pile = G1,we have, when we suppose that both bodies are inelastic, the velocity of the same at the end of the impact (see §332)
hence the corresponding height due to the velocity is
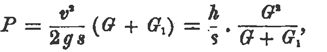
Now if the pile sink during-the last blow a distance s, the resistance of the a earth and the load which the pile can support is
or more correctly, since the weight G + G1 of the pile and ram act in opposition to the resistance of the earth,
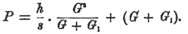
In most cases G + G1 is so small, compared to P, that we can neglect the latter part of the formula.If the weight B, of the pile is much smaller than the weight G of the ram, we can write
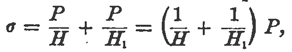
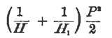
The foregoing theory suffices in practice, when the resistance P is moderate and, consequently, the depth s of the impression is not very small; for in that case the compression of the pile, etc, can be neglected. If, on the contrary, the resistance P is very great and, consequently, the depth s of the impression very small, the compression a of the pile can no longer be regarded as null, and must therefore be introduced into the calculationThe pile of course does not begin to sink until the force of impact has become equal to the resistance P of the earth. Now if H = FE/l and H1 = F1E1/l1 denote the hardness of the ram and that of the pile (in the sense of §336), the sum of the compressions of the two bodies, when the force of impact is P, is
and the mechanical effect expended in producing this compression is
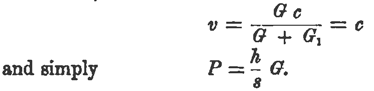
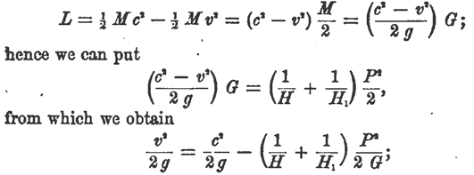
Now if this first impact of the two bodies causes the velocity c of the ram to become v, its mass M = G/g performs the work
consequently the velocity of the ram, when the pile begins to penetrate the earth, is
We infer from this that a pile (and also a bolt or nail in a wall) will begin to enter the resisting obstacle when
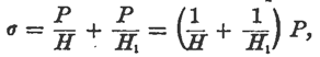
or when the weight of the ram and its velocity have the proper relation to the resistance of the earth. During the penetration of the pile the force of impact and, consequently, the compression of the pile, etc, diminish as long as the velocity of the ram exceeds that of the pile; when both attain a common velocity v1, and the force of impact becomes a maximum, the bodies begin to expand again. During this expansion not only the velocity of the ram, but also that of the pile becomes gradually = 0; the pressure between the two bodies becomes again P, and consequently at the moment, when the pile ceases to penetrate, the whole energy c2/2g G of the ram is consumed by the work
expended in compressing, and by the work
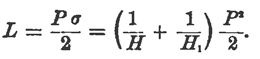
done in driving the pile to the depth s.Hence we have
and therefore the load which corresponds to the depth of penetration s is
If the compression (1/H + 1/H1) P/2 is considerably smaller the the space s described by the pile, we can write simply
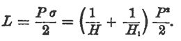
Comparing the work done in driving in the pile
with the work done G h in raising the ram, we see that the former approaches the latter more and more as (1/H + 1/H1) P/2s becomes smaller or as the hardness H = FE/l of the ram and that H1 = F1E1/l1 of the pile become greater, I.E. the greater the cross-sections F and F1 and the moduli of elasticity E and El of these bodies are and the smaller the lengths are.The action of the weights of the two bodies can be entirely neglected, since they generally form but a small portion of the resistance P. We can also neglect the energy, which the bodies posses in consequence of their elasticity (although the latter is imperfect) after the pile has come to rest; for the body, which is thrown back by their expansion, is generally, upon falling again, incapable of overcoming P and setting the pile in motion. For safety’s sake, the pile, which has been driven in, is loaded with only 1/10 part of the resistance P, just found, or perhaps with even lees. According to some late experiments made by Major John Sanders, U. S. A., at Fort Delaware (communicated by letter) we can put, approximately, the resistance
Example—A pile, whose cross-section is 1 foot = 144 square inches, whose length is 25 feet = 25 . 12 = 800 inches, and whose weight is 1200 pounds, ie driven by the last tally of ten blow of a ram, weighing 2000 pounds and falling 6 feet = 72 inches, 2 inches deeper, what is the resistance of the earth? If we neglect the inconsiderable compression of the cast iron and put (according to § 212) the modulus of elasticity of wood El = 1,560000, we obtain
Now since G h = 2000 . 72 = 140000 inch-pounds and the depth of the penetration after one blow is s = 2/10 = 0,2 inches, we obtain for the determination of P the following equation:
and therefore the height from which a ram weighing 2000 pounds must fall in order to move the pile is
There were more than one formula referred to as “Weisbach’s Formula;” a common form will be discussed in the next post. This form was used around the same time by one Col. James L. Mason in the construction of Fort Montgomery on Lake Champlain.

Pile Driving—If we drive piles such as A B, Fig. 569, into earth or any other soft material C D C, we increase its resistance much more than we would by simply stamping it. Such piles (Fr. pieux; Ger. Pfähle) are from 10 to 30 feet long, 8 to 20 inches thick, and are provided with an iron shoe B. The body M, the so-called ram (Fr. mouton; Ger. Rammklota, Rammbär or Hoyer), which is allowed to fall from 3 to 30 feet upon the top of the pile, is generally made of cast iron, more rarely of oak, and weighs from 5 to 20 hundred weights. If the ram falls the vertical distance h, the velocity with which it strikes the pile is

















6 thoughts on “Before Wellington and ENR: Early Dynamic Formulae, and Sanders’ Formula”